Compound interest

Simple vs. compound interest
Examples of 5% and 10%

Future value (FV, or A accrued accumulated amount) for compound interest


P: principal (present value, PV)    r: annual interest rate (decimal)    t: time term in years    n: number of compoundings per year

P:    r:    t:    n:


FV=


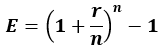
Effective interest rate (annual yield) of compound interest


t=1 (FV-P)/P percent change

r: annual compound interest rate [nominal rate]    n: number of compoundings per year

r:    n:


E =


Future value (FV, or A) for continuously compounded interest

P:    r:    t:


FV=


Rule of 70: doubling time is approximately 70/r and doubling rate is approximately 70/t

Present value (P) for compound interest

FV, or A:    r:    t:    n:


P=


Present value (P) for continuously compounded interest

FV, or A:    r:    t:


P=


Time t for compound interest =

P:    FV, or A:    r:    n:


t=


Interest rate r for compound interest =

P:    FV, or A:    t:    n:


r=