Annuities

Examples of 5% and 10%

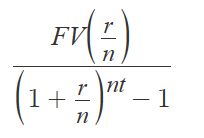
Future value (FV) of an ordinary annuity =


P: periodic payment    r: annual interest rate (decimal)    t: time term in years    n: number of payments (and compoundings) per year

P: r: t: n:


FV:  =   payments' total (P*n*t):  +  interest earned:

Note: an ordinary annuity's payment is made at the end of the period and does not earn interest that period.


Future value (FV) of an annuity due

FV = P * AnnuityTable[n*t+1][r/n] - P

P: r:%    t: n:


Compound sum (multiplier):
FV:  =   payments' total (P*n*t):  +  interest earned:


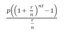
Periodic payment (Pmt) of an ordinary annuity =

FV: r: t: n:


Pmt:
Payments' total (P*n*t):      interest earned: