| n | 1/n | = | decimal | |||||||||
|---|---|---|---|---|---|---|---|---|---|---|---|---|
| 1 | 1/1 | = | .9 | |||||||||
| 2 | 1/2 | = | .5 | |||||||||
| 3 | 1/3 | = | .3 | 2/3 =.6 | ||||||||
| 4 | 1/4 | = | .25 | 3/4 =.75 | ||||||||
| 5 | 1/5 | = | .2 | 2/5 =.4 | 3/5 =.6 | 4/5 =.8 | ||||||
| 6 | 1/6 | = | .16 | 5/6 =.83 | ||||||||
| 7 | 1/7 | = | .142857 | 2/7 =.285714 | 3/7 =.428571 | 4/7 =.571428 | 5/7 =.714285 | 6/7 =.857142 | ||||
| 8 | 1/8 | = | .125 | |||||||||
| 9 | 1/9 | = | .1 | 2/9 =.2 | 4/9 =.4 | 5/9 =.5 | 7/9 =.7 | 8/9 =.8 | ||||
| 10 | 1/10 | = | .1 | |||||||||
| 11 | 1/11 | = | .09 | 2/11 =.18 | 3/11 =.27 | 4/11 =.36 | 5/11 =.45 | 6/11 =.54 | 7/11 =.63 | 8/11 =.72 | 9/11 =.81 | 10/11 =.90 |
| 12 | 1/12 | = | .083 | |||||||||
| 13 | 1/13 | = | .076923 | |||||||||
| 14 | 1/14 | = | .0714285 | |||||||||
| 15 | 1/15 | = | .06 | |||||||||
| 16 | 1/16 | = | .0625 | |||||||||
| 17 | 1/17 | = | .0588235294117647 | |||||||||
| 18 | 1/18 | = | .05 | |||||||||
| 19 | 1/19 | = | .052631578947368421 | |||||||||
| 20 | 1/20 | = | .05 |
Multiples of a fraction that are not simplifiable have the same recurrence lengths.
e.g. 1/7, 2/7, 3/7, 4/7, 5/7, 6/7
e.g. 1/6, 5/6
Terminating decimal ≡ reduced fraction whose denominator has only 2 and 5 as prime factors
(i.e. reduced denom's prime factorization (PF) is 2a5b)
Exs. .12=3/25 .17=17/100
123/640 is reduced, has terminating decimal 0.1921875 because denom's PF (27·5) is exclusively 2s and 5s.
Recurring/repeating decimal ≡ reduced fraction whose denominator's PF is not exclusively 2s and 5s:
i.e. reduced denominator is 3, 6, 7, 9, 11, 12, 13, 14, 15, 17, 18, 19, 21, 22, 23, 24, 26, 27, 28, 29, 30, 31, ...
Exs. 1/3 2/3 n/7 ... n/ddd1 n/dddd3 n/dddd7 n/dddd9 (reduced denominator ends in 1,3,7,or 9: non-5 odd)
123/456 is reduced, has repeating decimal because denom's PF (23·57) is not exclusively 2 and 5.
123/455 is reduced, has repeating decimal because denom's PF (5·7·13) "
The vast majority of fractions have a repeating decimal. Of reduced denominators up to 10,000, only these
have terminating decimals:
2 4 5 8 10 16 20 25 32 40 50 64 80 100 125 128 160 200 250 256 320 400 500 512 625 640 800 1000 1024 1250 1280 1600 2000 2048 2500 2560 3125 3200 4000 4096 5000 5120 6250 6400 8000 8192 10000
and they sparser...
Convert repeating/recurring decimal to fraction:
.d1 = d1 / 9
Ex. .77777...=.7 = 7/9
Ex. .66666...=.6 = 6/9 = 2/3
.d1d2 = d1d2 / 99
Ex. .858585...=.85 = 85/99
.d1d2d3 = d1d2d3 / 999
Ex. .492492492...=.492 = 492/999 = 164/333
Convert decimal whose repeating recurrence doesn't start immediately after decimal point:
x = .xyzddddd... ddddd is the recurrence of length n. m is length of non-recurrence start
m n
10^m+n x = xyzddddd.ddddd...
- 10^m x = xyz.ddddd...
------------------------------
F.0
x = F / 10^m+n-10^m
Ex. x = .1234987987987...
m=4 n=3
10^7 x = 1234987.987987...
-10^4 x = 1234.987987...
----------------------------
1233753
10^7-10^4=10000000-10000=9990000
x = 1233753 / 9990000
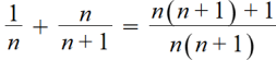
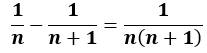
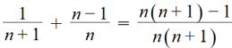
e.g. sum of 1/8 and 1/9 is 17/72
e.g. difference between 1/8 and 1/9 is 1/72
e.g. sum of 1/9 and 7/8 is 71/72
e.g. sum of 1/8 and 8/9 is 73/72