Numbers: quantity. Counting: how many. Measuring: how much
concept, word, symbol
Many ways to denote a number. Many forms of a number.
3 = 3.0 = 3/1 = 6/2 = 9/3 = ...
= 42/14 = ...
= --3 = √9 = ∛27 = √3√3 = (√3)2 = ... =
3.0×100 = 31
2 < 4
-4 < -2 the more negative (i.e. the leftmost) is less than
Clearer if "smaller" number is to the left, using <: x<3 instead of 3>x
Except x>5
2/5 = "two fifths" = 2*1/5 = 2÷5 = .4 = .4(100/100) = 40/100 = 40%
2 is 40% of 5 2 = 40% * 5 = .4 * 5
ratio of 2 to 5. 2:5
11/3 = 3⅔ = 3.6
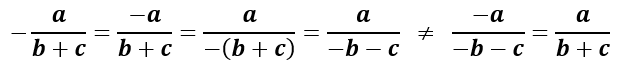
-a/b = -a/b = a/-b
⅔ x = 2x/3 ≠ 2/3x
a/b · b/a = 1
the product of reciprocals equals 1
x · 1/x = 1
a/b = c/d ↔ b/a = d/c flip both
split numerator ✓ (a+b)/c = a/c + b/c
split denominator ✗ a/(b+c) ≠ a/b + a/c
(a/b)/c = a / bc
a/(bc) = ac / b
(a/b)/(c/d) = ad / bc
Fraction facts
Dividing by x is the same as multiplying by its reciprocal, 1/x.
÷2 ≡ *½ ÷3 ≡ *⅓ ÷½ ≡ *2
÷⅔ ≡ *3/2 ÷1½ ≡ ÷3/2 ≡ *⅔
3y = 3·y juxtaposition means multiplication. = y + y + y
x2 = x·x
2x = x+x
x3 = x·x·x
3x = x+x+x
4x3 = 4(x·x·x) = x·x·x + x·x·x + x·x·x +x·x·x
x2 = (-x)2 ≠ -x2
x3 ≠ (-x)3 = -x3
x0 = 1
x1 = x
1x = 1
0x = 0 (except 00 is indeterminate)
3√2 is a (one) number. ≈4.242640687
(If c=ab then √c =) √(ab) = √a√b
Square root of a product = the product of the square roots of the factors
Simplify a root: √72 = √(36*2) = √36*√2 = 6√2
√10 ≠ 2√5 √10 = √2√5
√a2 = |a|
If a>0, √a2=a Ex. a=3, √32=√9=3
If a<0, √a2=|a| Ex. a=--3, √(-3)2=√9=3=|-3|
x1/n = n√x
x1/2 = √x
x1/3 = ∛x ...
As n→∞, nth root (n√) → 1
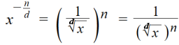
xn/d = d√xn = (d√x)n
dth root of the nth power = nth power of the dth root
Raise to the nth power then take that's dth root =
Take the dth root then raise that to the nth power
x2/3 = ∛(x2) = (∛x)2
92/3 = ∛(92) = (∛9)2 ≈4.326749
82/3 = ∛(82) = (∛8)2 =4
x3/2 = √(x3) = (√x)3
93/2 = √(93) = (√9)3 =27
83/2 = √(83) = (√8)3 ≈22.627417
A set is a collection of unique (no duplicates) objects, physical or abstract,
called elements or members.
{a, b, c} No order, so same set as {c, a, b}
finite: {9, 3, -2, π}
infinite: {0,1,2,3...}
empty set: {} = ∅
interval: [a,b] all numbers between a and b, inclusive: a≤x≤b
interval: (a,b] all numbers between a and b. includes b but not a: a<x≤b
interval: [b,∞) x≥b